Borsa İstanbul’da 2025 Eylül ayı bedelsiz rekoru kırdı. SPK Eylül ayında 15 hisseye bedelsiz bölünme izni verdi. Dokuz aylık bedelsizlerde en çok bedelsiz verilen ay oldu.
9 aylık periyotta ay ay bedelsiz bölünme adetleri:
- 15 hisse Eylül 2025
- 12 hisse Mart 2025
- 11 hisse Ağustos 2025
- 10 hisse Şubat 2025
- 7 hisse Haziran 2025
- 6 hisse Ocak 2025
- 5 hisse Nisan 2025
- 3 hisse Mayıs 2025
- 3 hisse Temmuz 2025
2025 yılının ilk dokuz ayında Borsa İstanbul'da şu ana kadar 72 hisse SPK dan onay alarak bedelsiz bölünmeyi gerçekleştirdi. Geride kalan onlarca hisse SPK dan onay beklemektedir.
Bedelsiz veren hisseler ne zaman bölünecek?
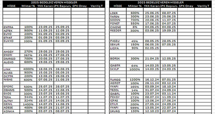
Sermaye Piyasası Kurulu (SPK) Eylül 2025 den itibaren bir çok şirketin sermaye artırımı başvurularını değerlendirecek ve onay verecek. Bu haberimizde 2025 yılında ilk dokuz ayda bedelsiz sermaye artımı yapan hisseleri ve yapması planlanan tüm şirketleri, bedelsiz oranlarını, karar tarihlerini, SPK başvuru tarihlerini sizler için hazırladık.
İşte 2025 yılının 9 ayında bedelsiz bölünen hisselerin bölünme tarihleri ve yüzdeleri

2025 yılı 8 aylık zaman diliminde en yüksek yüzde ile bölünen hisseler;
- % 299900 YBTAS Yibitaş İnşaat Malzemeleri
- % 6790 ENERY Enerya Enerji
- % 6150 SVRGY Servet Gayrımenkul
- % 3234 CVK Madencilik
- % 3000 BTCIM Batı Çimento
- % 2645 BINHO 1000 Yatırımlar Holding A.Ş.
- % 1310 ESCOM Escort Bilgisayar
- % 1180 MEGAG Meka Global Makine
- % 1100 TURGG Türker Proje Gayrimenkul
- % 1050 KTLEV Katılım Ev
Borsa İstanbul'da SPK'ya başvurusu yapılmış onay bekleyen şirketlerin listesi

Bedelsiz Sermaye Artırımı Nedir?
Bedelsiz sermaye artırımı tanımı, şirketin kaynaklarına nakit giriş çıkışı olmadan öz kaynakların yükseltilmesi olarak yapılabilir. Bunun için şirketin elde ettiği kâr veya iç kaynaklar kullanılır. Şirketin var olan hissedarlarına hisse senedi dağıtılabilir.
Sermaye Piyasası Kanunundaki Yeri
Bedelsiz sermaye artırımının düzenlenmesi çeşitli yasal çerçevelerle belirlenmiştir. Sermaye Piyasası Kanunu (SPK)'nun 19. maddesi sermaye artırımıyla ilgili genel çerçeveyi oluşturur. Kanunun farklı maddelerinde bedelsiz sermaye artırımına ilişkin detaylar bulunur. İlgili düzenlemede yer alan konuların ana başlıkları şunlardır:
Bedelsiz ve Bedelli Artırım Arasındaki Farklar
Bedelli sermaye artırımında şirket sermayesini artırmak için mevcut yatırımcılara ve yeni yatırımcılara ilave hisse senetleri çıkarılır. Bu süreçte hisse senetlerine belirli bir bedel ödenir. Ödenen bu bedel şirket sermayesine eklenir.
Bedelsiz sermaye artırımındaysa sermaye artırımı için şirketin iç kaynakları kullanılır. Hissedarlar bu süreçte yeni hisse senetleri için ödeme yapmaz ve hisse senetleri şirketin iç kaynaklarıyla finanse edilerek dağıtılır. Bedelsiz sermaye artırımı için şirketin genel kurul kararı gerekir ve dış kaynak kullanılmaz.
